1 前言
高速機床是現代高速加工技術發展的需要,高速主軸單元作為高速機床的核心部件,應具有以下兩個基本特征[1]:
首先,應具有較高的轉速。衡量主軸速度的指標是dm.n值,高速主軸的dm.n值一般要求達到1.0×106以上,并具有較寬的恒功率調速范圍、良好的升降速特性和快速準停功能。目前,中等尺寸高速加工中心的最高主軸轉速為12000~60000 r/min。
其次,高速主軸應有較大的功率。盡管在高速切削條件下切削力會下降,切削過程會變得較輕松,但由于切削速度很高,單位時間內消耗的能量也會明顯增大,因此需要有較大的功率。目前,高速加工中心的主電機功率為10~45 kW。
傳統的“主電機+皮帶傳動+齒輪變速”的主傳動方式,由于傳動鏈長,傳動效率低,而且在高速下傳動系統的轉動慣量很大,使系統很難獲得較高的角加(減)速度;動態和熱態特性差,因此難以適應高速數控加工的要求。
目前,能較好地適應高速加工需要的主軸型式是電主軸,即采用無外殼電機直接驅動。在我校研制的GD-Ⅱ型電主軸中,電機的轉子直接裝配在主軸上,電機的定子則與主軸單元的外殼配合,省去了皮帶輪和齒輪箱等一整套中間傳動環節,采用變頻器進行主軸的無級調速,實現了主軸系統的零傳動[2]。
該主軸系統由于沒有中間傳動鏈,結構緊湊、慣性小,具有較好的動態響應特性,能實現快速啟動、變速、準停,并具有較好的C軸控制功能。
為了保證高速切削,主軸應具有良好的運動精度和傳動能力,主軸零部件應具有良好的加工精度和表面質量,而且還應具有良好的裝配精度。為了易于達到精確的動平衡,電機轉子與機床主軸之間采用了無鍵過盈聯接,并以此形成扭矩傳遞能力。過盈量的大小直接影響電主軸的性能,過盈量過大會使主軸裝配困難,影響裝配精度,甚至破壞配合表面;過盈量過小則會影響主軸傳遞扭矩的能力。因此,必須對電機轉子與機床主軸間的過盈量進行認真研究,以適應高速電主軸設計工作的需要。
2 主軸轉子過盈量計算的原理
當電機轉子與機床主軸存在過盈時,會在配合表面產生正壓力,使電機轉子的內外徑擴張,主軸的內外徑壓縮。由于電機轉子和主軸的軸向尺寸較大,軸向的伸長量可以忽略不計。因此,電主軸的配合可以簡化為兩個厚壁圓柱套筒的過盈配合。電機轉子與機床主軸間過盈量的大小,不僅與配合面的傳動能力密切相關,而且還受電主軸運動狀態的影響。在低速狀態下,離心力的影響可以忽略不計;而對于高速主軸,離心力則是影響電機轉子與機床主軸配合的關鍵因素。因此,電主軸的過盈量計算不僅應滿足靜態傳遞能力的要求,而且還要考慮主軸動態特性的影響。#p#分頁標題#e#
2.1 電主軸靜態過盈量的計算原理[3]
如圖1,設電機轉子的內孔半徑為a,外圓半徑為b,主軸配合面的半徑為a,內孔半徑為c。若忽略軸向的端部效應,可認為配合面內受均布壓力作用。由于電機轉子與主軸是軸對稱的,因此在極坐標系中,應力與位移是軸對稱的,則配合件的切向位移和剪應力τrθ為零。根據彈性力學原理,應力函數只是徑向尺寸r的函數,與極角無關。

圖1 主軸與轉子配合面的受力分析
(a)電子轉子 (b)機床主軸
電機轉子內孔受正壓力p作用,外圓面為自由面,如圖1a所示。因此邊界條件為:
(1)
式中 p——正壓力,N/m2
σre——轉子徑向正應力,N/m2
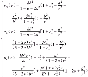
在靜態條件下,電機轉子的應力和微位移可由下式確定[4]:
(2)
式中 σθe(r)——轉子切向正應力,N/m2
ce——電機轉子的內外徑比,ce=a/b
ue(r)——電機轉子的徑向位移,m
Ee——轉子材料的彈性模量,N/m2
υe——轉子材料的泊凇比
主軸外圓柱面受正壓力p作用,主軸內孔為自由面,如圖1b所示。因此邊界條件為:
(3)
式中 σri(r)——主軸徑向正應力,N/m2#p#分頁標題#e#
在靜態條件下,機床主軸配合處的應力和微位移由下式確定[4]:
(4)
式中 σθi(r)——主軸的切向正應力,N/m2
ci——主軸配合面的內外徑比,ci=c/a
ui(r)——主軸的徑向位移,m
Ei——主軸材料的彈性模量,N/m2
υi——主軸材料的泊凇比
主軸與電機轉子均為鋼質材料,其彈性模量和泊凇比基本相等,分別為E和υ。
根據式(2)和式(4),在靜態配合條件下,機床主軸與電機轉子間的過盈量Δs可由下式確定:
(5)
2.2 電主軸動態過盈量的計算原理
電主軸在高速運轉時,必須考慮離心力對過盈量的影響。設厚壁圓筒受均布壓力作用,圓筒的轉速n,轉動體的平衡微分方程為:
(6)
式中 ω——角速度,rad/s
ρ——材料密度,kg/m3
正應力與徑向位移的關系式為[4]:
(7)
由于電機轉子內孔存在均布壓應力,外圓面為自由面,根據式(1)、式(6)和式(7),求解微分方程得:
(8)
式中,系數k為:

根據式(3)、式(6)和式(7),求解微分方程得主軸的應力和位移公式為:
(9)
在高速運轉條件下,電主軸的過盈量Δ可由下式確定:
(10)
由于電機功率是通過電機轉子與機床主軸間的無鍵過盈配合進行傳遞的,所以配合面間的動力傳遞能力由配合面間的摩擦力矩確定:#p#分頁標題#e#
(11)
式中 Mt——主軸的傳動轉矩,Nm
機床主軸與電機轉子單位配合面的摩擦力dF為:
(12)
式中 B——配合面的有效接觸長度,m
dθ——單位圓心角,rad
μ——配合表面間的摩擦系數
Kc——安全因子,一般取2~4
根據式(11)和式(12),電機的轉矩Mt與配合面之間的正壓力p的關系可由下式確定:
(13)
根據式(10)和式(13),高速運轉條件下,電主軸配合面的過盈量Δ與電機轉矩以及主軸轉速間的關系可由下式確定:
(14)
比較式(14)和式(5)可知,高速電主軸的過盈量由靜態分量Δs和動態分量Δd兩部分組成。靜態分量Δs由下式確定:
(15)
動態分量Δd由下式確定:
(16)
由式(15)和式(16)可知,靜態分量與主軸的傳動能力有關,它與主軸的轉矩成正比。而動態分量則主要是由離心力確定的,它與主軸轉速的平方成正比。當主軸速度較低時,Δd動態分量可以忽略不計,主軸的過盈量由靜態部分確定;但在高速情況下,主軸的過盈量受離心力的影響較大,因此高速主軸的過盈量主要由動態部分確定。
3 具體的計算與強度校核
GD-Ⅱ型電主軸電機轉子的基本尺寸為:轉子的外徑2b=134.2mm,轉子內孔直徑2a=66mm,轉子的軸向長度為260mm,轉子配合面的有效接觸長度B=104mm。主軸配合面的基本尺寸為:外徑2a=66mm#p#分頁標題#e#,內孔直徑為2c=25mm。因此,ce=0.4918,ci=0.3788。電機的最高轉速為18000r/min,所以其最大角速度ωmax為1884 rad/s。額定功率為13.5 kW,額定轉矩為85 Nm,電主軸的結構如圖2所示。

圖2 GD-Ⅱ型高速電主軸的結構
電機轉子和主軸均為鋼質材料,材料的彈性模量E=2.1×1011 N/m2,泊凇比υ=0.3, 主軸配合面間的摩擦系數μ=0.09,電機轉子襯套材料的許用應力[σ]為287 N/mm2,主軸材料的許用應力[σ]為567 N/mm2。
根據式(16),要滿足電主軸的高速性能,電機轉子與主軸配合面間的動態過盈分量的最小值Δdmin可由下式求得:

根據式(15),要滿足電主軸的扭矩傳遞能力,電機轉子與主軸配合面之間的靜態過盈分量的最小值Δsmin可由下式求得:

根據計算可知,高速電主軸要求的動態過盈量Δdmin是其要求的靜態過盈量的6倍多,由此可見,高速主軸的過盈量主要由動態過盈量確定。根據式(14),高速電主軸的最小過盈量Δmin為:
Δmin=Δdmin+Δsmin=0.03404 (mm)
據此,在GD-Ⅱ型電主軸設計中,主軸與電機轉子的配合采用Φ66H6#p#分頁標題#e#/s6的過盈配合,這種配合的實際最小過盈量為0.040 mm(>0.03404 mm),能滿足電主軸的高速傳動要求。其實際的最大過盈量為0.078mm,根據式(5),配合面實際產生的最大正壓力為:

根據式(2),電機轉子內孔配合面上具有最大的切向拉應力σθemax和最大的徑向壓應力σremax,其值為:

根據式(4),主軸的σri(r)和σθi(r)均為壓應力,其中主軸的配合面上具有最大的徑向壓應力σrimax,在主軸內孔壁處具有最大的切向壓應力σθimax,其值為:

電主軸的裝配應力分布如圖3所示。

圖3 主軸與轉子過盈配合的應力分布
由此可見,電主軸的危險點在電機轉子的內側,根據第三強度理論[5]:

電機轉子襯套材料的許用應力[σ]為287 N/mm,σr3<[σ],使用安全。
4 結論
電主軸是為高速數控機床而開發的一種新型的主軸部件,正確地計算主軸與電機轉子間的過盈配合至關重要,它是影響主軸轉動性能的一項關鍵技術。本文通過對GD-Ⅱ型電主軸的過盈配合研究得出如下結論:
(1)根據材料力學和彈性力學,分別對靜態和高速運轉條件下配合表面的幾何尺寸、材料、傳遞扭矩、轉速對過盈量及應力分布的影響進行了研究,建立了應力和過盈量計算的理論公式。研究發現,高速電主軸的過盈量由靜態分量和動態分量兩部分組成。靜態分量與主軸的扭矩成正比;動態分量與電機轉速的平方成正比,離心力是影響過盈配合量的主要因素。
(2)根據推導出的理論公式具體算出了GD-Ⅱ型電主軸的過盈配合量,并通過了應力分析和強度校核。結果表明,這種過盈配合形式能較好地滿足高速數控機床的要求,并在實踐中得到了驗證。
相關文章
- 2021-09-08BIM技術叢書Revit軟件應用系列Autodesk Revit族詳解 [
- 2021-09-08全國專業技術人員計算機應用能力考試用書 AutoCAD2004
- 2021-09-08EXCEL在工作中的應用 制表、數據處理及宏應用PDF下載
- 2021-08-30從零開始AutoCAD 2014中文版機械制圖基礎培訓教程 [李
- 2021-08-30從零開始AutoCAD 2014中文版建筑制圖基礎培訓教程 [朱
- 2021-08-30電氣CAD實例教程AutoCAD 2010中文版 [左昉 等編著] 20
- 2021-08-30電影風暴2:Maya影像實拍與三維合成攻略PDF下載
- 2021-08-30高等院校藝術設計案例教程中文版AutoCAD 建筑設計案例
- 2021-08-29環境藝術制圖AutoCAD [徐幼光 編著] 2013年PDF下載
- 2021-08-29機械AutoCAD 項目教程 第3版 [繆希偉 主編] 2012年PDF